Not Found

The requested URL was not found on this server.


Apache/2.4.58 (Ubuntu) Server at www.wpstats.org Port 80
К тексту К навигации К поиску

Расчет сечения кабеля

03 марта 2010 от admin

В данной статье приведена методика расчета минимального сечения кабеля подключения громкоговорителей в системах оповещения и трансляции.

Для ускорения подбора кабеля приведена таблица.

Расчет сечения кабеля линии СОУЭ – S ведется для заданного допустимого значения падения напряжения в линии – Uпад по следующим параметрам:

· напряжение в линии – U

· длина линии – L

· потребляемая мощность – P

Для величины падения напряжения:

где I – ток в линии

где p – удельное сопротивление материала (для меди 0.0175Ом х мм2 )

Отсюда находим выражение для расчета сечения кабеля:

Пример: Линия 100В, протяженность линии 300м, мощность 200Вт, максимальное падение напряжения в линии 15В. Рассчитать сечение кабеля.

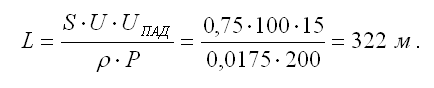
Для случая, когда необходимо вычислить максимальную протяженность линии по сечению используемого кабеля и заданному падению напряжения, используется следующая формула:

Пример: Линия 100В, кабель 0,75 мм2, мощность 200 Вт, максимальное падение напряжения в линии 15 В. Рассчитать протяженность линии.

Для ускорения подбора приведена таблица
В таблице приведены расчетные, минимальные значения сечение кабеля. Рабочее напряжение 100 В, допустимое падение напряжения в линии 10 В. Кабель используемый в линии СОУЭ выбирают больше или равный значению в таблице.

Ваш отзыв

Вы должны войти, чтобы оставлять комментарии.